Project Showcase

Highlight of my featured works

Red Wine Quality Prediction

Machine Learning 2025

Predicting red wine quality using deep learning with both Keras Sequential and Functional models, compared and optimized with hyperparameter tuning.

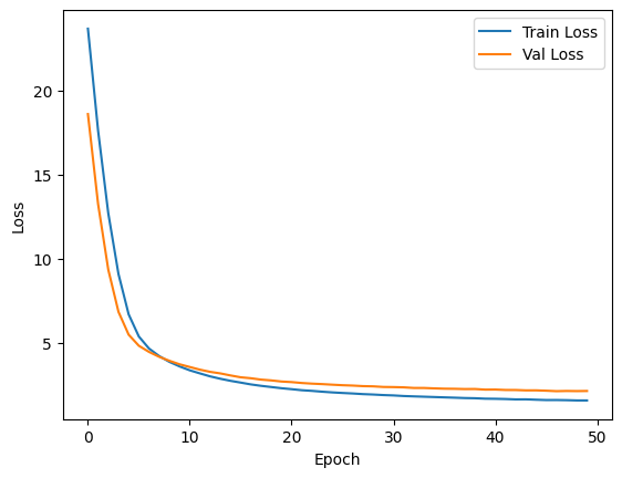
Wine Dataset Distribution Training Accuracy and Loss Prediction vs Actual Quality

🎯 What I Learned

  • Compared Sequential vs Functional API in Keras
  • Applied BatchNormalization, Dropout, and LeakyReLU
  • Used Keras Tuner for hyperparameter optimization

🛠 Tech Stack

  • Python, Pandas, NumPy
  • Matplotlib, Seaborn, Plotly
  • Statsmodels, Scipy
  • TensorFlow / Keras, Keras Tuner

📌 Evaluation / Next Step

Both Sequential and Functional models improved with tuning, with the Functional API providing slightly more flexibility and better performance. However, results are sensitive to hyperparameters. Future improvements include using ensemble models, cross-validation, and testing tree-based ML methods (XGBoost, RandomForest) as benchmarks.