Project Showcase

Highlight of my featured works

☀️🔋📊 Solar Panel Energy Prediction

Deep Learning / Energy Forecasting 2025

A deep learning regression project predicting energy usage from solar panels. Includes EDA, statistical preprocessing, and neural network training with hyperparameter tuning.

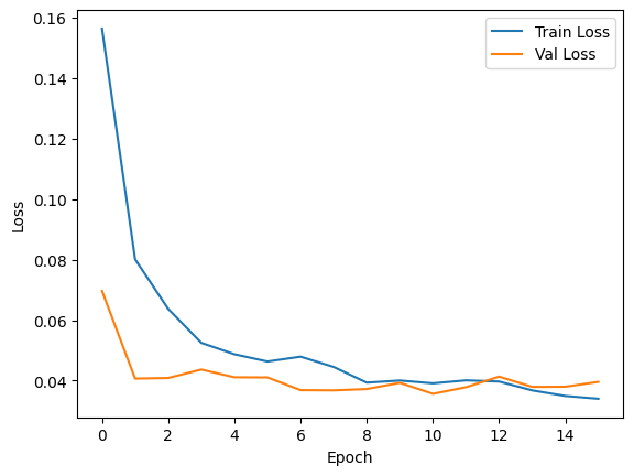
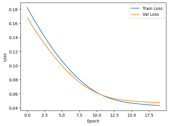
Energy Usage Trends Model Training Results Prediction vs Actual

🎯 What I Learned

  • Performed statistical testing and preprocessing (VIF, Shapiro)
  • Applied dense neural networks for regression
  • Improved accuracy with Keras Tuner hyperparameter search

🛠 Tech Stack

  • Python, Pandas, NumPy
  • Matplotlib, Seaborn, Plotly
  • Statsmodels, Scipy
  • TensorFlow / Keras, Keras Tuner

📌 Evaluation / Next Step

The tuned neural network achieved lower MSE/MAE and higher R² compared to the baseline model. However, extreme weather variations are not fully captured, which can reduce performance in real-world deployment. Next steps include adding weather forecast features and testing sequential models like LSTM or GRU.